徠卡機器人全站儀助力三等水準測量
一、前言
目前高程測量方法一般分為幾何水準測量、GPS水準測量和三角高程測量三大類。采用傳統水準的方法測定點與點之間的高差,所得到的地面點高程精度較高,普遍用于建立國家高程控制點及測定高等級地形控制點的高程。對于地面高低起伏較大的地區,采用這種方法測定地面點的高程進程緩慢,有時甚至非常困難。

精密三角高程測量在丘陵地、山地、高山地區相比常規水準測量,因架站少、架站自由、靈活、快速,不需要量測儀器、棱鏡高,傳遞高程優勢顯著,能大大降低外業勞動強度,但受限于全站儀的硬件性能,此前一直未能在生產中實際應用;徠卡測量機器人的出現,打破了三角高程測量不能代替高精度水準測量的束縛,徠卡自動全站儀多測回自動觀測、自動識別限差,給野外測量帶來很大的便利,尤其夜間觀測成果更佳。
二、精密三角高程測量技術的可行性研究

作業流程:
檢測棱鏡互差,并檢核棱鏡的加裝是否符合要求,同時還要對全站儀進行組合檢校;
在起點布設棱鏡桿,在距離起點較近的一點(轉點1),布設主站;
主站在轉點1依次觀測棱鏡桿低棱鏡(①)和棱鏡桿高棱鏡(②);
主站不動,在轉點2架設輔站。依次進行如下觀測:后測站觀測低棱鏡(③)、前測站觀測低棱鏡(④)、前測站觀測高棱鏡(⑤)、后測站觀測高棱鏡(⑥);
主站換站至轉點3,輔站不動。依次進行如下觀測:后測站觀測低棱鏡(⑦)、前測站觀測低棱鏡(⑧)、前測站觀測高棱鏡(⑨)、后測站觀測高棱鏡(⑩);
輔站換站,依次循環進行高程的傳遞至接近末點處;
在最后的轉站,主站依次觀測末點高低棱鏡。
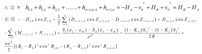
數據模型:

限差

三、項目驗證
為了驗證精密三角高程測量的精度, 內蒙古自治區測繪院使用徠卡TCRA1201全站儀、徠卡TS30全站儀及徠卡TS60全站儀等檢測了很多段用數字電子水準儀測得二等水準路線。其結果如表所示, 精密三角高程測量是完全可以達到二等水準測量的要求。

四、經驗積累、廣泛應用
自2010年5月以來,內蒙古自治區測繪院在呼和浩特、包頭、鄂爾多斯、巴彥淖爾市、烏蘭察布市、赤峰市已成功的使用徠卡自動全站儀精密三角高程測量代替二等水準測量1700多千米;在烏蘭察布市、呼倫貝爾市、興安盟、赤峰市等地方成功的使用徠卡自動全站儀精密三角高程測量代替三等水準測量4000多千米。

經過數年的研究,不同時間,不同區域,所測得的數據基本都能滿足國家二等水準測量規范的要求。徠卡自動全站儀搭配三角高程測量軟件、計算軟件和正確的測量方法,達到了目的和效果。同時我們也積累了諸多的外業經驗:
盡可能使用無伸縮腳架觀測,測段起、末水準點上,對中桿要放穩,保持高度不。
對向觀測時,如一站觀測時間過長,應重測對向觀測。
白天平均氣溫超過26℃時,在保障安全的作業前提下,最好在夜間作業,提前踏勘、選定觀測路線和測站點,更能顯著提高作業效率。
白天作業視線長度不宜超過800米,經過大量測量數據證明500米左右為最佳觀測距離。
白天作業時間遵照水準測量規范上的要求,由于在陽光直射和地面溫度較高,熱氣浪大時大氣折光影響較大。
自動照準觀測,視場內不能有遮擋物在棱鏡前。
視線不能通過煙火上空,觀測目標背后不能有大面積反光地物(蔬菜大棚),大面積水域。
在ATR自動照準時盡量避免陽光直射,由于正對太陽時,在自動照準光路中會有噪聲,從而影響自動照準的精度。

五、總結
傳統二、三等水準在山地、高山的測量中,需要耗費大量的人力、物力和財力,且效率極低。以傳統水準測量為例,在山地連測二、三等水準,單程連續觀測前后視距5-10米,一站一站連測,一個組一天連測3-5公里左右,依據財政部、國家測繪局2009 年頒布的《測繪生產成本費用定額》計算,100個水準點需要聯測1000千米。若對這些點進行二等水準觀測,100個水準點觀測的費用為207萬元,一個組5人需要400天完成。而同樣任務利用徠卡自動全站儀精密三角高程聯測二等水準,一個組一天聯測8-10公里左右,200天以內就可以完成1000千米的水準測量,節省大量的人力、物力。應用徠卡自動全站儀精密三角高程代替二、三等水準測量在困難地區聯測,可產生巨大的經濟效益。
徠卡自動全站儀精密三角高程測量具有傳遞高程靈活、方便、受地形條件限制較少等優點,徠卡測量機器人超高的測角測距精度,為精密三角高程測量提供了硬件保障,目前徠卡自動全站儀精密三角高程測量在大地測量、工程測量中得到了廣泛的應用。
更多相關
中緯ZG30AI視頻影像RTK 震撼上市
近日,海克斯康-中緯發布ZG30AI視頻測量RTK,該產品是海克斯康集團為中國市場和客戶研發的實用化視頻測量RTK。中緯ZG30AI采用邊緣計算算法結合AI識別技術,提高照片傳遞和解算速率,實現長...
7月1日起,2000國家大地坐標系全面啟用!
按照《國土資源部國家測繪地理信息局關于加快使用2000國家大地坐標系的通知》(國土資發〔2017〕30號)要求,原國土資源部(現自然資源部)確定,2018年6月底前完成全系統各類國土資源空間數據...
自然資源部將啟動“十四五”基礎測繪規劃編制
從2月25日召開的2019年全國國土測繪工作座談會獲悉,自然資源部將啟動全國“十四五”基礎測繪規劃編制工作,大力加強新型基礎測繪體系建設,進一步提升基礎測繪核心供給能力,并將通過提高測繪資質許可審...
千尋CORS賬號如何購買劃算? 選南京環球測繪
千尋CORS賬號如何購買劃算? 選南京環球測繪南京環球測繪儀器有限公司為:“千尋CORS賬號”全國代理商,代理商對比官網的優勢在于可以提供實時的技術服務支持,有專業的技術部門,24小時處理...
科力達SLAM-K120手持三維激光掃描儀 有何優勢?
科力達SLAM-K120手持三維激光掃描儀作為一款先進的移動測量設備,憑借其輕量化設計、實時建圖能力和高精度性能,在建筑測繪、地下空間、應急救災等領域展現出顯著優勢。以下從核心技術、應用場景及用戶體驗...
徠卡全站儀在地鐵自動化監測中的注意事項
眾所周知,地鐵隧道的自動化監測在精密監測范疇中往往要求精度在±1mm以內。徠卡測量在眾多地鐵項目中,是如何做到高精度的呢?以下常見的問題解答,或許能夠幫到您! 一、地鐵隧道中,徠卡TM50支架...
徠卡全站儀實現單人測量
隨著城市規模的發展,不斷的擴大,城市測量的需求也不斷增加,我們的城市需要軌道交通行業,城市建筑,管線行業,電力行業,沉降監測,路政測量,數字城市等行業大量的基礎數據。工作量大,需要高精度;數據量大...
科力達KTS-552智能安卓全站儀,突破傳統全站儀單一作業模式!
DOS、Windows、智能Android 每一次產品的迭代 都是對全站儀的再次詮釋 機械設計和科技合二為一 勾勒出智慧測量新藍圖 見所未見,未來已來 共享智能測量新時代 科力達新品...











環球測繪微信