精密三角高程在長距離一等跨河水準測量中的應用
通過分析長距離跨河水準測量的高差計算模型,針對三角高程測量中各精度影響因素制定合理的施測方案,并通過工程實例予以可行性驗證。結果表明: 采用高精度儀器、特制的覘燈,并遵循科學的觀測方法,能夠有效減弱垂直角觀測及大氣折光對三角高程測量精度的影響,并使其滿足長距離跨河水準測量的精度要求。
引言
當水準路線通過江河、湖泊時,通常采用跨河水準測量法施測。根據《國家一、二等水準測量規范》( GB/T12897-2006) ,跨河水準測量可以采用的方法有光學測微法、傾斜螺旋法、經緯儀傾角法、測距三角高程法和GPS測量法。其中測距三角高程法具備如下優點: ①不要求儀器和觀測員頻繁調岸,有利于提高作業效率; ②對跨河場地的要求更低,兩岸跨河點不必等高; ③適用的跨河距離較長。但在實際作業中,仍然存在一些因素影響著測量成果的精度,制約著測量工作的效率。尤其在高精度、長距離跨河水準測量工作中,這些影響因素的存在更加不容忽視。鑒于此,本文通過分析和研究,制訂出合理的施測方案,并在蘇通段一等跨河水準測量中予以驗證。
1、長距離跨河水準測量精度影響因素分析
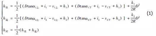
長距離跨河水準測量通常采用對向觀測的方法,其高差計算模型如公式( 1) 所示:

式中,D 為視線水平距離; α下、α上 為覘標上下標志所對應的垂直角; i 為儀器高,v1、v2 分別為覘標上下標志高度; h 為儀器安置點至覘標安置點間的高差; R 為地球曲率半徑; k1、k2 為大氣折光系數。
由式( 1) 可知,影響高差計算精度的主要因素有距離測量、垂直角測量、儀器高和覘標高量測所帶來的誤差,同時還應顧及大氣折光的影響:
1) 由于兩岸觀測點高差不大,因此,距離觀測誤差的影響基本可以忽略;
2) 垂直角觀測誤差是三角高程測量誤差的主要來源,并與觀測距離成正比;
3) 儀器高和覘標高誤差比較容易控制,不是三角高程測量誤差的主要來源;
4) 大氣折光誤差與溫度、氣流等不可見因素有關,并且k 值無法精確求得,因此是三角高程測量誤差的主要來源。
在測量工作中,針對以上各方面因素需制定合理的施測方案以最大限度地減弱其影響,從而滿足長距離跨河水準測量對三角高程測量的精度要求。
2、長距離跨河水準測量施測方案
2.1 選點與造標
在長距離跨河水準測量中,需要具備較多的圖形檢核條件,應此將跨江點布設呈大地四邊形如圖1所示 。觀測墩墩面距江面高度應不低于m( S 為跨河視線長度千米數) 。

為減小測線上的大氣折光不均勻對垂直角測量的影響,要求兩岸觀測墩處的地形、地貌近似,高差不大; 同時為保證往、返測線穿過同一個大氣介質,需在每個觀測墩面設置兩個強制對中裝置,分別安置儀器和覘標,如圖2所示: A、B、C、D 為儀器安置點,A-1、B-1、C-1、D-1 為覘標安置點。

2.2 覘燈的設計及高度標定
為提高垂直角觀測精度,在長距離跨河水準測量中采用特制的覘燈作為觀測目標,并且在設計中應注意以下幾點:
1) 燈桿與燈筒相連處應采用弧形設計,并且弧度嚴格吻合,防止燈筒滑動;
2) 燈桿下端采用基座固定,并且保證觀測時燈桿下端與強制對中連接螺絲上端嚴密接觸;
3) 采用鹵鎢杯燈( 50W) 作為發光部,可防止觀測時測燈出現散光及目標模糊現象;
4) 覘燈電源應具備足夠的蓄電量,并且設計調控裝置,在保證測量工作順利進行的同時能夠在不同的光照條件下調節覘燈的亮度。
覘燈上下標志高度的標定在室內進行。方法為: 采用線紋尺在燈桿連接孔之間進行往返觀測,往測順序為:上孔上沿—上孔下沿—下孔上沿—下孔下沿; 返測順序與往測順序相反。以往返測高度的均值作為覘燈高度標定的最終成果。
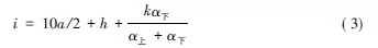
2.3 儀器的選擇及高度標定
在長距離跨江水準測量中需采用兩臺測角精度為0.5″的全站儀同時進行對向觀測。儀器高度的標定選在固定兩點間( 高差為一等水準測量成果) ,利用銦瓦水準標尺在測前、測中、測后分三次進行標定。首次標定時需用膠布將儀器腳螺旋固定,取三次標定結果中數作為全站儀高度標定的最終成果。計算方法如式2、式3 所示:
當全站儀中絲位于標尺分劃線上時:
![]()
式中,α 為照準標尺的分劃讀數; h 為測站點至立尺點高差; k 為標尺分劃線寬; α下 和α上 分別為分劃上、下邊緣垂直角絕對值。
當全站儀中絲位于標尺兩分劃線之間時:
![]()
式中,k 為標尺相鄰分劃線間隔; α上 為上分劃線上、下邊緣垂直角中數的絕對值; α下 為下分劃線上、下邊緣垂直角中數的絕對值。
2.4 距離測量
全站儀的測程往往難以滿足長距離跨河水準測量的測距要求,且測距誤差并非三角高程測量的主要誤差來源,因此采用GPS 測量法。考慮到多路徑效應對觀測結果的影響,應采用扼流圈天線,并保證每時段觀測時間≥4 h。利用三維無約束平差求得的平面坐標反算觀測平距。
2.5 垂直角測量
顧及大氣折光的影響,在垂直角測量時采用多光段、多測回的方法加以克服。但應舍棄規范中“組”的概念,每次盤左、盤右觀測即對應一個垂直角,觀測限差在相鄰兩垂直角之間執行,不在“組”之間執行。兩臺儀器對向觀測時,應使用通信設備,每測回觀測開始時間嚴格同步,結束時間差不大于15 s。觀測程序為:
1) 在A、C 點架設儀器,A-1、C-1 架設覘燈,兩岸同步觀測對岸覘燈,并測定垂直角;
2) A 點儀器和A-1 點覘燈不動,將C 點儀器和C-1點覘燈遷至D 點和D-1 點,兩岸同步觀測對岸覘燈,并測定垂直角;
3) D 點儀器和D-1 點覘燈不動,將A 點儀器和A-1點覘燈遷至B 點和B-1 點,兩岸同步觀測對岸覘燈,并測定垂直角;
4) B 點儀器和B-1 點覘燈不動,將D 點儀器和D-1覘燈重新遷至C 點和C-1 點,兩岸同步觀測對岸覘燈,并測定垂直角。至此第一個儀器位置的觀測結束,兩臺儀器共完成4 個單測回。
觀測時盤左依次照準覘燈上標志、下標志,盤右按相反次序照準下標志、上標志,上、下標志垂直角分別計算高差。半數測回結束后觀測員、儀器及覘燈一同調岸。
2.6 直接水準測量
直接水準測量一方面作為高程系的引入使用,另一方面可作為高程傳遞的檢核。按照一等水準要求測量同一觀測墩儀器安置點和覘燈安置點( 螺絲頂端) 間、同岸儀器安置點間及儀器安置點和固定點間的高差,并以此作為計算和檢核的基準。
2.7 限差驗算
同一條測線各雙測回的互差限差應符合式( 4) 規定的限值:
![]()
式中,MΔ 為每千米水準測量的偶然中誤差,單位為mm; N 為雙測回的測回數; S 為跨河視線長度,單位為km。
用同一光段的各條測線高差計算圖形閉合差,結果應不大于式( 5) 規定的限值:
![]()
式中,MW 為每千米水準測量的全中誤差,單位為mm; S 為跨河視線長度,單位為km。
3、實例驗證
此次蘇通段一等跨河水準測量采用以上方法于2017年10 月施測。跨江地點位于常熟市至南通市之間,蘇通公路大橋西約1 000 m 處。測線長度約為4.6 km,視線高度南岸約12 m,北岸約8 m,通視良好。跨江圖形的布設如圖所示。

其中,SL1—ST01、SL01—ST02、SL03—ST04、SL03—SL2、ST01—ST01 - 1、ST02—ST02 - 1、ST03—ST03 - 1 及ST04—ST04-1 各邊高差采用天寶DiNi03 數字水準儀按照一等水準測量要求施測; 各測線邊長采用4 臺天寶5700 型GPS 接收機及扼流圈天線共觀測3 個時段; 垂直角測量采用覘燈和兩臺測角精度為0.5″的全站儀—LeicaTCA2003、LeicaTS30( 高度標定見表1、表2) ,參照規范要求施測30 光段, 60 個雙測回。一光段內每條測線垂直角觀測16 個測回,即每條測線垂直角共觀測480 個測回。

全站儀標定成果

覘燈標定成果
由大地四邊形組成6 個閉合圖形( 其中3 個為獨立閉合圖形) ,每光段分別計算閉合差,經內業驗算得知: 施測的30 個光段中有5 個光段存在部分圖形閉合差超限現象,分析超限的原因為氣溫突變時江面大氣折光影響變化較快導致部分測線高差值偏小,重測此類測線后發現30 個光段中每條測線光段間高差較差及每光段內各圖形閉合差均滿足限差要求。其中,光段間高差互差最大為29.50 mm,小于限差31. 18 mm; 圖形閉合差最大為12.81 mm,小于限差13.42 mm; 中數閉合差最大3.70 mm,最小0.39 mm。各圖形閉合差統計結果由表3 列出:其中,3個獨立圖形分別為ST01-ST02-ST03、ST01-ST02-ST04 及ST01-ST03-ST04,由三者的中數閉合差計算每公里高程測量的高差中誤差為0.55 mm/km。由此可見,本文提出的施測方案完全能夠滿足長距離一等跨河水準測量的精度要求。

圖形閉合差統計結果
4、結束語
本文通過對三角高程測量精度影響因子的分析,制訂長距離跨河水準測量施測方案,并在蘇通段一等跨河水準測量中予以驗證。結果證明,采用高精度儀器、特制的覘燈,并遵循科學的觀測方法,能夠有效減弱垂直角觀測及大氣折光對三角高程測量精度的影響,并使其滿足長距離跨河水準測量的精度要求。因此,本文提出的施測方案可適用于高精度跨河水準測量、高精度跨江水準測量以及高精度跨海水準測量。
更多相關
徠卡自動化監測系統在蘇通長江公路大橋的應用
一、項目背景: 蘇通長江公路大橋,位于中國江蘇省境內,是江蘇省公路主骨架網“縱一”—贛榆至吳江高速公路的重要組成部分,是當時中國建橋史上工程規模最大、綜合建設條件最復雜的特大型橋梁工程。該橋全長...
庫熱西參加國家測繪地理信息局黨支部“支部書記講黨課”活動
國家測繪地理信息局黨組書記、局長庫熱西同志以一名普通黨員身份,參加局辦公室黨支部“支部書記講黨課”活動。 辦公室黨支部本次黨課主題為“堅持人民立場和群眾路線”。庫熱西對辦公室黨支部主題黨課活...
全站儀測回法,快來了解一下!
全站儀測回法是一種常用的測量方法,用于確定某個點的空間坐標。該方法需要在測量點附近設置兩個已知坐標的控制點,通過全站儀在測量點和控制點之間進行多次測量,最終計算出測量點的坐標。具體步驟如下:1.設置...
700個智慧城市,實現“雙碳”,智慧城市建設的關鍵是什么?
摘要:我國已有超過700個城市(含縣級市)在規劃和構建智慧城市。這一個龐大的城市工程在“雙碳”目標明確之后,再度成為當前社會共同關注的一大焦點。....
北斗衛星導航定位基準站系統建設
2月初,當新春走基層采訪組到達秦嶺深處——藍田縣湯峪鎮的時候,見到了正在進行陜西省北斗衛星導航定位基準站系統建設項目二等水準測量的國測一大隊二中隊技術人員。此前幾天,秦嶺下了兩場大雪,山上根本無法...
“綠心”保衛戰,地理國情監測立下汗馬功勞
初夏時節,記者走進湖南。從省會長沙出發,沿著城際干道芙蓉路南下,車行十多公里,我們便進入了省內負有盛名的“綠心”地區。這一帶全是低山丘陵,植被茂密、河流清澈、空氣清新,與北面長沙城的“鋼筋水泥...
一文讀懂我國現代測繪基準體系建設
建設現代測繪基準提升服務保障能力 ——李維森就國家現代測繪基準體系建設與應用答記者問 《全國基礎測繪中長期規劃綱要(2015-2030年)》明確提出了我國基礎測繪發展的主要任務——加...
一位測繪老黨員和他的義務修理鋪
“我這一生,是黨和國家培養了我。現在我老了,能力有限,我只希望能用綿薄之力為大家做點事,報答黨的恩情。這也是讓我感到最快樂的事。”胡敬堯一語道出了一位測繪老黨員的初衷和一生的堅守—— 在杭州...











環球測繪微信